第 1 頁 (共 1 頁)
駭客數學 複數的運算
發表於 : 2013年 9月 2日, 23:18
由 acdimns
第1題

- IMAG0263_1.jpg (93.18 KiB) 已瀏覽 10964 次
這是我的做法,然後就算不下去了...

- IMAG0267_1.jpg (106.62 KiB) 已瀏覽 10964 次
第2題

- IMAG0265_BURST002_1.jpg (57.65 KiB) 已瀏覽 10964 次
課本答案是B,網路解答是A,我算是A...
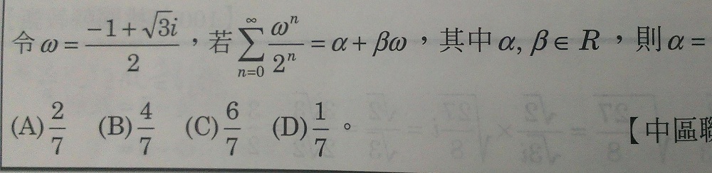
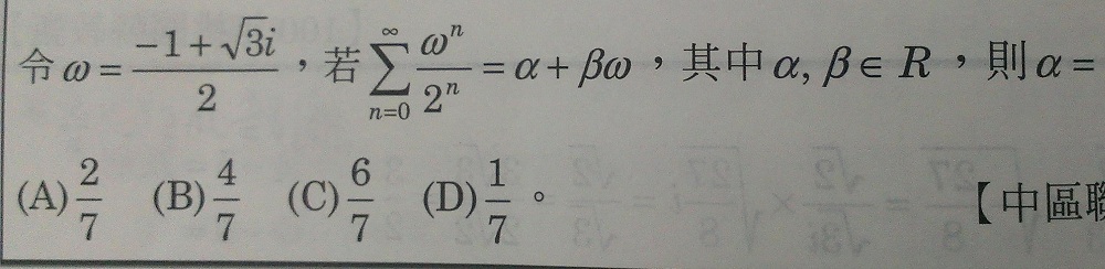
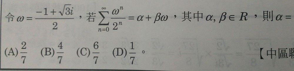
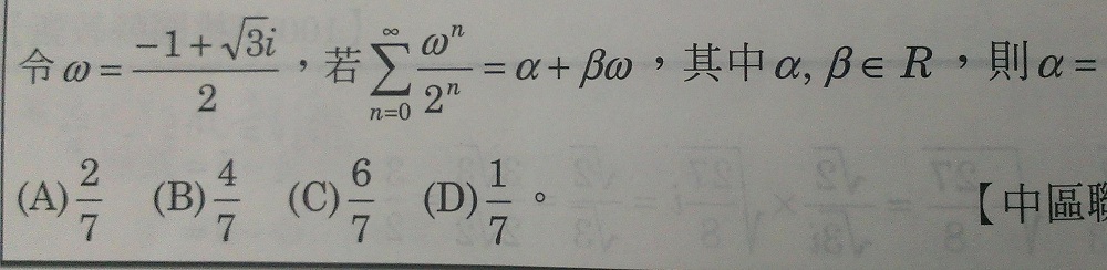
第3題

- IMAG0268_BURST002_1.jpg (100.64 KiB) 已瀏覽 10964 次
答案C
我想把W代進去SIGMA,但不知道如何下手...
第4題

- IMAG0269_BURST002_1.jpg (73.5 KiB) 已瀏覽 10964 次
答案B
不知道怎麼求這題的根?
第5題

- IMAG0270_1.jpg (106.56 KiB) 已瀏覽 10964 次
複數絕對值平方我算出來是25,三次方就不會算了?
Re: 駭客數學 複數的運算
發表於 : 2013年 9月 3日, 11:15
由 thepiano
第 1 題
分子和分母同乘以 -1 + 2i
第 2 ~ 5 題
請參考附件
Re: 駭客數學 複數的運算
發表於 : 2013年 9月 3日, 21:31
由 acdimns
謝謝您!
Re: 駭客數學 複數的運算
發表於 : 2013年 9月 5日, 20:57
由 深情一老狗
第五題應有更快的方式....
如是取絕對值,可以各自分開做...再相乘除...
高中數學的教學上應有說過...
所以分子是25*2根號二
分母是25*根號二...約分後,答案就是2