第 1 頁 (共 1 頁)
[107竹女][謝謝老師]
發表於 : 2018年 12月 31日, 17:12
由 LATEX

- 3875320a5af6cf51.jpg (10.42 KiB) 已瀏覽 17159 次
Re: [向量]
發表於 : 2018年 12月 31日, 23:45
由 thepiano
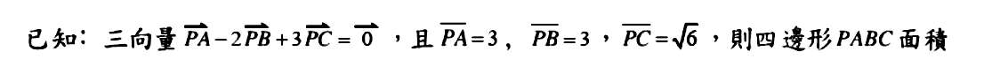
向量 PA + 3向量 PC = 2向量 PB
畫一平行四邊形 APC'B'
在 PC' 上取一點 C,使得 PC = (1/3)PC'
則 AC' 和 PB' 之交點為 B
先算出 △PB'C' 之面積
所求 PABC = (2/3)△PB'C'