第 1 頁 (共 1 頁)
[代數]謝謝老師
發表於 : 2020年 9月 10日, 19:59
由 LATEX

- Screenshot_20200910-195733.jpg (19.32 KiB) 已瀏覽 12231 次
Re: [代數]
發表於 : 2020年 9月 11日, 09:20
由 thepiano
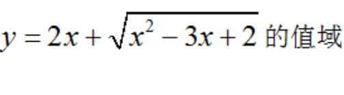
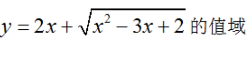
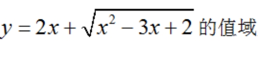
x^2 - 3x + 2 ≧ 0
x ≧ 2 或 x ≦ 1
y ≧ 2x = 4
y - 2x = √(x^2 - 3x + 2)
(y - 2x)^2 = x^2 - 3x + 2
3x^2 + (3 - 4y)x + (y^2 - 2) = 0
(3 - 4y)^2 - 4 * 3 * (y^2 - 2) ≧ 0
y ≧ (6 + √3) / 2 或 y ≦ (6 - √3) / 2
再跟 y ≧ 4 取交集