第 1 頁 (共 1 頁)
[代數]謝謝老師
發表於 : 2020年 9月 28日, 20:19
由 LATEX
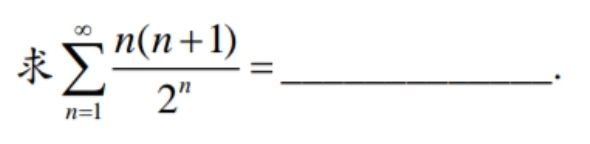
請問級數問題

- Screenshot_20200928-200620.jpg (15.47 KiB) 已瀏覽 9289 次
Re: [代數]
發表於 : 2020年 9月 29日, 07:45
由 thepiano
x^(n + 1) 微分二次是 n(n + 1)x^(n - 1)
Σx^(n + 1) = x^2 / (1 - x),微分二次是 2 / (1 - x)^3
x 代 1/2 後再乘以 1/2 就是原題要的